Амжилттай илгээгдлэй! Баярллаа
Амжилтгүй боллоо. Дахин оролднл уу
ӨБЦТС ТӨХК
Өмнөд бүсийн цахилгаан түгээх сүлжээ ТӨХК

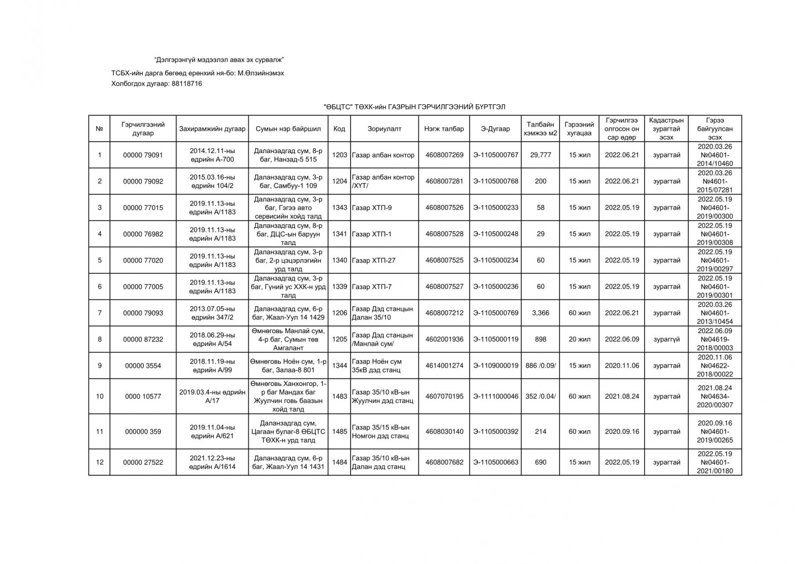
Эзэмшиж байгаа газрын мэдээлэл

Хэрэглэгчийн онлайн системд нэвтрэх